您所在位置: 网站首页 / 文档列表 / 中学学案 / 文档详情

相关文档

最新文档

9 人教初中数学八上 完全平方公式教案1 【2023,最新经典教案】.doc 立即下载
上传人:石头****海海 上传时间:2024-09-07 格式:DOC 页数:16 大小:1MB 金币:6 举报 版权申诉
预览加载中,请您耐心等待几秒...

9 人教初中数学八上 完全平方公式教案1 【2023,最新经典教案】.doc

9人教初中数学八上完全平方公式教案1【2023,最新经典教案】.doc

预览

免费试读已结束,剩余 6 页请下载文档后查看

6 金币

下载文档

如果您无法下载资料,请参考说明:

1、部分资料下载需要金币,请确保您的账户上有足够的金币

2、已购买过的文档,再次下载不重复扣费

3、资料包下载后请先用软件解压,在使用对应软件打开

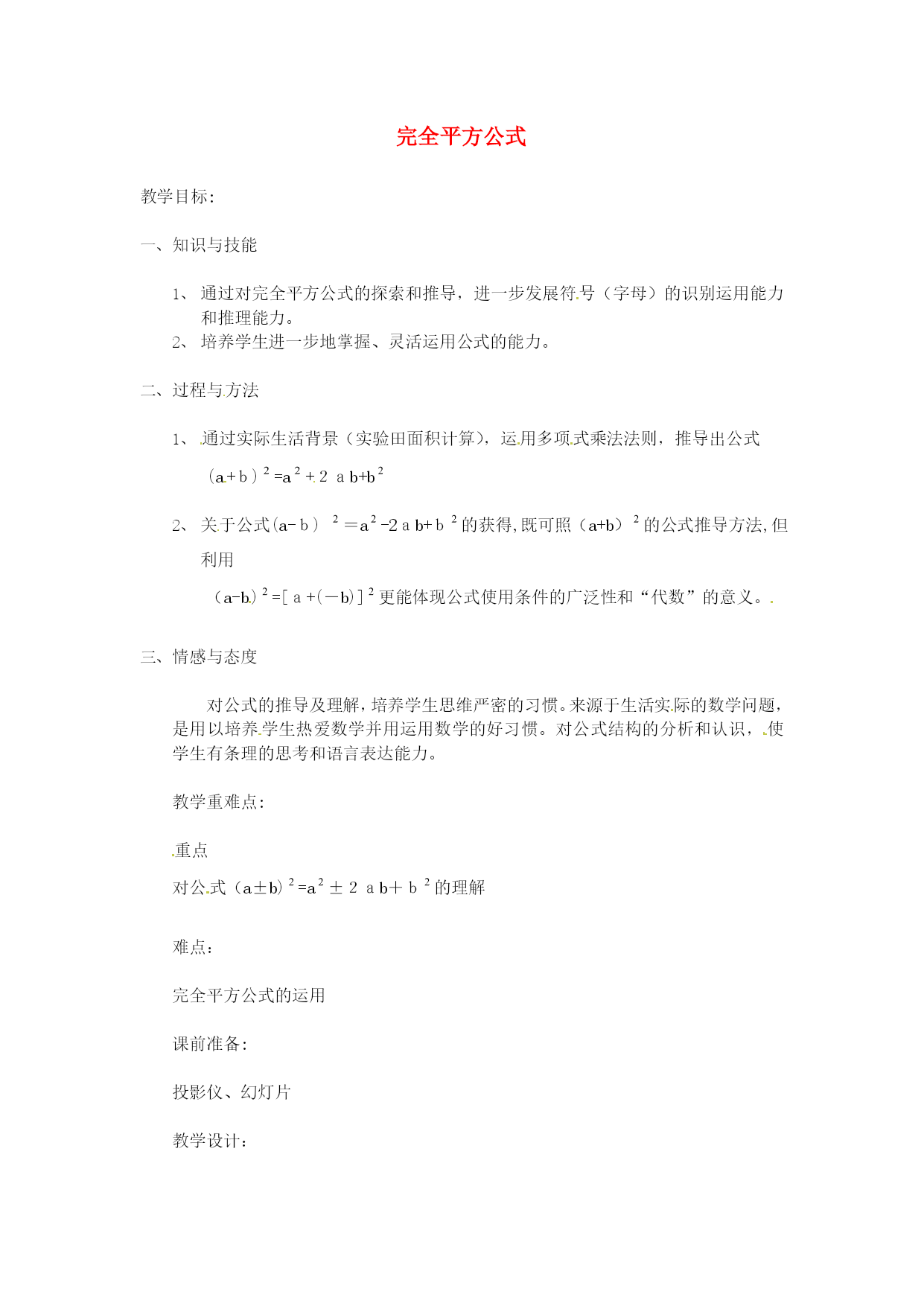
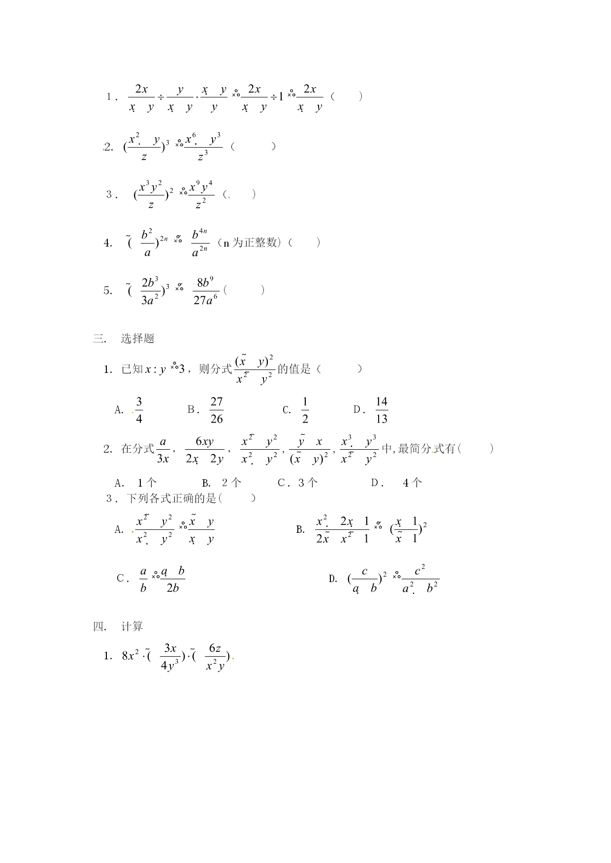
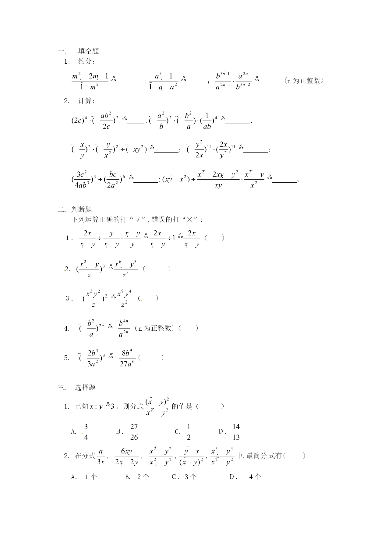
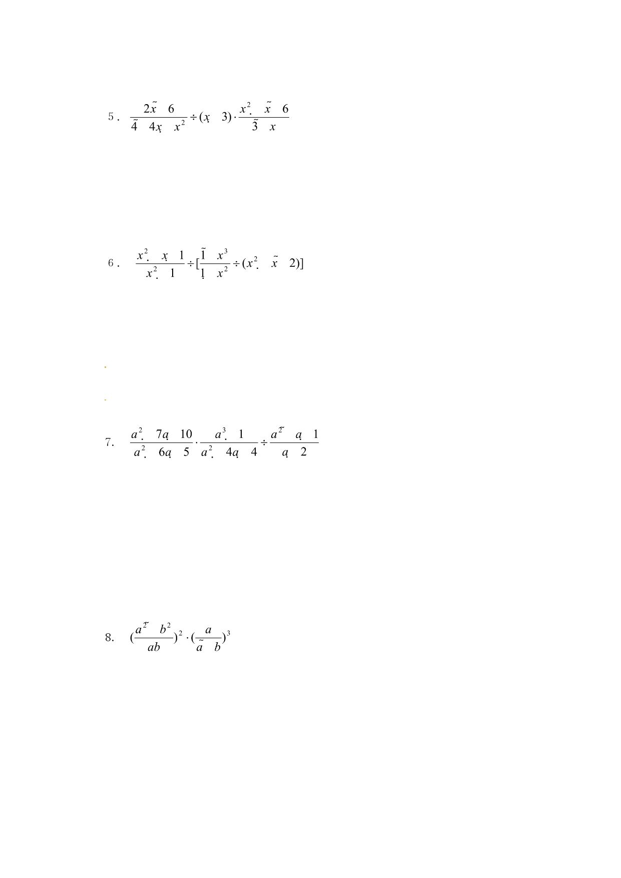
完全平方公式教学目标:知识与技能通过对完全平方公式的探索和推导,进一步发展符号(字母)的识别运用能力和推理能力。培养学生进一步地掌握、灵活运用公式的能力。过程与方法通过实际生活背景(实验田面积计算),运用多项式乘法法则,推导出公式(a+b)=a+2ab+b关于公式(a-b)=a-2ab+b的获得,既可照(a+b)的公式推导方法,但利用(a-b)=[a+(-b)]更能体现公式使用条件的广泛性和“代数”的意义。情感与态度对公式的推导及理解,培养学生思维严密的习惯。来源于生活实际的数学问题,是用以培养学生热爱数学并用运用数学的好习惯。对公式结构的分析和认识,使学生有条理的思考和语言表达能力。教学重难点:重点对公式(a±b)=a±2ab+b的理解难点:完全平方公式的运用课前准备:投影仪、幻灯片教学设计:教师活动学生活动说明引导学生用多项式乘法计算(a+b)指导学生对公式(a-b)=a-2ab+b的推导总结二公式,由学生叙述公式内容。例1的讲解,板书给出组织学生巩固新课,完成随堂练习。学生由面积相等得出(a+b)=a+2ab+b学生分小组计算,统一结论。分组进行,各抒己见,然后小组统一。表述公式,指出二公式的特点、同异。学生听讲。学生独立完成,相互评价,可组织学生上讲台演算。由现实情景中数学结论,激发学生学习热情此活动在于验证引例的正确,应要求学生把展开式按a的降幂排列。显然学生有两种截然不同的推导办法,不强求,可由学生自我评价。板书公式,强调公式内容、结构。讲解例题应注重“套”的过程,注意符号、系数、指数等。补充一些简单例题,主要目的是巩固公式(a+b+c)可视学生情况而定。“分式的乘除法”复习题一.填空题1.约分:;;(n为正整数)2.计算:;;;;;。二.判断题下列运算正确的打“√”,错误的打“×”:1.()2.()3.()4.(n为正整数)()5.()三.选择题1.已知,则分式的值是()A.B.C.D.2.在分式,,,,中,最简分式有()A.1个B.2个C.3个D.4个3.下列各式正确的是()A.B.C.D.四.计算1.2.3.4.5.6.7.8.9.10.11.12.13.14.15.16.,其中,。ﻬ【试题答案】一.1.;;2.;;;;二.1.×2.×3.×4.×5.√三.1.C2.B3.B四.1.解:原式2.解:原式3.解:原式4.解:原式5.解:原式6.解:原式7.解:原式8.解:原式9.解:原式10.解:原式11.解:原式12.解:原式13.解:原式14.解:原式15.解:原式16.解:原式当,时,原式∴代数式的值为0“分式的乘除法”复习题一.填空题1.约分:;;(n为正整数)2.计算:;;;;;。二.判断题下列运算正确的打“√”,错误的打“×”:1.()2.()3.()4.(n为正整数)()5.()三.选择题1.已知,则分式的值是()A.B.C.D.2.在分式,,,,中,最简分式有()A.1个B.2个C.3个D.4个3.下列各式正确的是()A.B.C.D.四.计算1.2.3.4.5.6.7.8.9.10.11.12.13.14.15.16.,其中,。ﻬ【试题答案】一.1.;;2.;;;;二.1.×2.×3.×4.×5.√三.1.C2.B3.B四.1.解:原式2.解:原式3.解:原式4.解:原式5.解:原式6.解:原式7.解:原式8.解:原式9.解:原式10.解:原式11.解:原式12.解:原式13.解:原式14.解:原式15.解:原式16.解:原式当,时,原式∴代数式的值为0
单篇购买
VIP会员(1亿+VIP文档免费下)

扫码即表示接受《下载须知》

9 人教初中数学八上 完全平方公式教案1 【2023,最新经典教案】

文档大小:1MB

限时特价:扫码查看

• 请登录后再进行扫码购买
• 使用微信/支付宝扫码注册及付费下载,详阅 用户协议 隐私政策
• 如已在其他页面进行付款,请刷新当前页面重试
• 付费购买成功后,此文档可永久免费下载
年会员
99.0
¥199.0

6亿VIP文档任选,共次下载特权。

已优惠

微信/支付宝扫码完成支付,可开具发票

VIP尽享专属权益

VIP文档免费下载

赠送VIP文档免费下载次数

阅读免打扰

去除文档详情页间广告

专属身份标识

尊贵的VIP专属身份标识

高级客服

一对一高级客服服务

多端互通

电脑端/手机端权益通用

手机号注册 用户名注册
我已阅读并接受《用户协议》《隐私政策》
已有账号?立即登录
我已阅读并接受《用户协议》《隐私政策》
已有账号?立即登录
登录
手机号登录 微信扫码登录
微信扫一扫登录 账号密码登录

首次登录需关注“豆柴文库”公众号

新用户注册
VIP会员(1亿+VIP文档免费下)
年会员
99.0
¥199.0

6亿VIP文档任选,共次下载特权。

已优惠

微信/支付宝扫码完成支付,可开具发票

VIP尽享专属权益

VIP文档免费下载

赠送VIP文档免费下载次数

阅读免打扰

去除文档详情页间广告

专属身份标识

尊贵的VIP专属身份标识

高级客服

一对一高级客服服务

多端互通

电脑端/手机端权益通用