您所在位置: 网站首页 / 文档列表 / 自然科学论文 / 文档详情
螺旋型Blumlein线的理论研究.pdf 立即下载
上传人:yy****24 上传时间:2024-09-03 格式:PDF 页数:5 大小:214KB 金币:16 举报 版权申诉
预览加载中,请您耐心等待几秒...

螺旋型Blumlein线的理论研究.pdf

螺旋型Blumlein线的理论研究.pdf

预览

在线预览结束,喜欢就下载吧,查找使用更方便

16 金币

下载文档

如果您无法下载资料,请参考说明:

1、部分资料下载需要金币,请确保您的账户上有足够的金币

2、已购买过的文档,再次下载不重复扣费

3、资料包下载后请先用软件解压,在使用对应软件打开

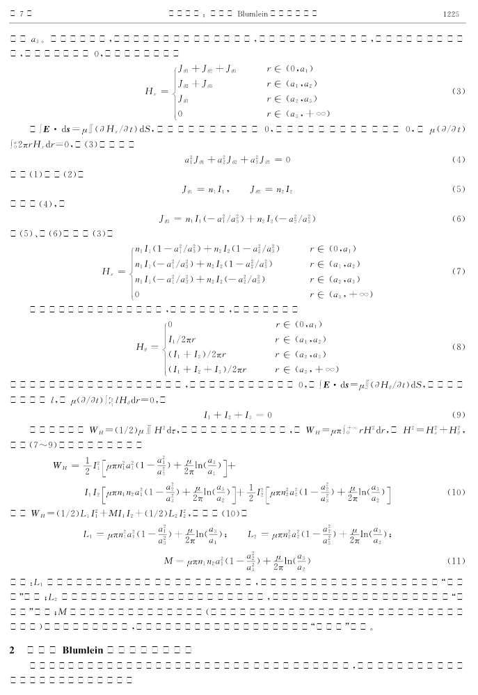
强激光与粒子束第18卷第7期Vol.18,No.7年月20067HIGHPOWERLASERANDPARTICLEBEAMSJul.,2006文章编号:1001-4322(2006)07-1224-05*螺旋型Blumlein线的理论研究潘亚峰彭建昌宋晓欣苏建仓,,,(西北核技术研究所,西安710024)摘要:采用薄电流层模型讨论了螺旋型Blumlein线的一种结构,该结构由螺线体内筒、螺线体中筒和导体外筒构成。给出了假定外线独立传输电压波时的螺旋型Blumlein线特征参数的近似计算公式,并进行了简单的原理验证实验。理论计算得到的脉冲电压幅值为543V、脉宽为24ns,而实验中分流器测到的电压值为471V、脉宽为30ns。为了简化计算,理论计算中对外线独立传输的假设条件不严密,由此造成了与实验结果的差异。提出了Tesla变压器和螺旋型Blumlein线相结合的方案:内置高耦合Tesla变压器的单同轴线构成整个外线的一部分。设计结果表明:外径628mm、总长2.67m、充电800kV的螺旋型Blumlein线可实现电压1.07MV、功率1.53GW、脉宽93ns的脉冲输出,理论输出线能量转换效率50%。关键词:螺旋线;Blumlein线;Tesla变压器;长脉冲;薄电流层模型中图分类号:TN782文献标识码:A对于通常的Blumlein脉冲形成线,要产生脉宽大于100ns的高电压脉冲,需增加形成线的长度,从而造成系统装置体积庞大、造价昂贵。采用螺旋脉冲形成线能够有效地解决这一问题。常见的螺旋型Blumlein线有两种类型,第一种是采用螺旋导体作为双线内部导体圆筒的同轴型Blumlein线,当螺旋线宽度远大于螺旋线匝间距离和相邻导体筒的距离时,内线与外线之间互不影响。M.Casey等人在1m长的变压器油介质的形成线上获得了600kV,20ns的高电压脉冲[1],杨建华等人在0.7m长的去离子水介质的形成线上获得了500kV,128ns的高电压脉冲[2]。这种结构慢波系数较小,不适于油介质形成线的长脉冲输出。另一种类型采用线径较细的螺旋导体作为双线内部导体圆筒,选取合适的参数,使其满足Blum-lein线的工作原理。T.Teranishi等人在1m长的变压器油介质的形成线上获得了600kV,300ns的高电压脉冲[3]。梁川等人在0.5m长的去离子水介质的形成线上获得了270ns的电压脉冲[4]。这种类型可以具有较大的慢波系数,能够实现油介质形成线的长脉冲输出。本文采用薄电流层模型讨论了双螺旋型Blumlein脉冲形成线,在假定外线独立传输电压波时,推导了螺旋型Blumlein线特征参数的近似计算公式,进行了简单的原理验证实验。最后提出了一种通过内置的高耦合Tesla变压器充电的螺旋型Blumlein线的方案。螺旋型线空间磁场的求解1Blumlein本文研究的螺旋型Blumlein线由螺线体内筒、螺线体中筒和导体外筒组成,其结构见图1。如果导线的半径和线圈的间隔比螺线体与相邻圆筒之间的距离小很多,可以把螺线体看作薄电流层[5],只在螺线体倾角Ф方向导电,此时表面线电流密度有一个轴向分量和一个方位角分量。假设螺线体半径为,则沿JxJθaFig.1LognitudinalsectionofspiralBlumleinline螺旋线的轴向电流满足图螺旋型线的纵向截面I1BlumleinI=2πaJx(1)如果单层绕组在单位长度内的圈数为则n,Jθ/Jx=tanФ=2πan(2)假设螺旋体内筒半径单位长度内的圈数为螺旋体中筒半径单位长度内的圈数为屏蔽外筒a1,n1;a2,n2;*收稿日期:2006-03-06;修订日期:2006-05-08基金项目:国家863计划项目资助课题作者简介:潘亚峰(1978-),男,江苏常州人,硕士,助理研究员,从事脉冲功率技术研究;yafengpan@126.com。书第7期潘亚峰等:螺旋型Blumlein线的理论研究1225半径忽略两端效应方位角电流分量将产生轴向磁场其值等于表面线电流密度在筒内沿角向均匀分a3。,,,布,而筒外的磁场为0,因此轴向磁场满足(,)=Jθ1+Jθ2+Jθ3r∈0a1Jθ2+Jθ3r∈(a1,a2)()Hx=<3Jθ3r∈(a2,a3)(,)=0r∈a3+∞由由于外层导体内电场为沿外层导体圆周的线积分为故∫E·ds=µ∬(∂Hx/∂t)dS,0,0,µ(∂/∂t)a将式代入得∫02πrHxdr=0,(3)222a1Jθ1+a2Jθ2+a3Jθ3=0(4)由式(1)和式(2)得Jθ1=n1I1,Jθ2=n2I
单篇购买
VIP会员(1亿+VIP文档免费下)

扫码即表示接受《下载须知》

螺旋型Blumlein线的理论研究

文档大小:214KB

限时特价:扫码查看

• 请登录后再进行扫码购买
• 使用微信/支付宝扫码注册及付费下载,详阅 用户协议 隐私政策
• 如已在其他页面进行付款,请刷新当前页面重试
• 付费购买成功后,此文档可永久免费下载
年会员
99.0
¥199.0

6亿VIP文档任选,共次下载特权。

已优惠

微信/支付宝扫码完成支付,可开具发票

VIP尽享专属权益

VIP文档免费下载

赠送VIP文档免费下载次数

阅读免打扰

去除文档详情页间广告

专属身份标识

尊贵的VIP专属身份标识

高级客服

一对一高级客服服务

多端互通

电脑端/手机端权益通用

手机号注册 用户名注册
我已阅读并接受《用户协议》《隐私政策》
已有账号?立即登录
我已阅读并接受《用户协议》《隐私政策》
已有账号?立即登录
登录
手机号登录 微信扫码登录
微信扫一扫登录 账号密码登录

首次登录需关注“豆柴文库”公众号

新用户注册
VIP会员(1亿+VIP文档免费下)
年会员
99.0
¥199.0

6亿VIP文档任选,共次下载特权。

已优惠

微信/支付宝扫码完成支付,可开具发票

VIP尽享专属权益

VIP文档免费下载

赠送VIP文档免费下载次数

阅读免打扰

去除文档详情页间广告

专属身份标识

尊贵的VIP专属身份标识

高级客服

一对一高级客服服务

多端互通

电脑端/手机端权益通用