您所在位置: 网站首页 / 文档列表 / 初中教育 / 文档详情
启迪教育七年级讲义.doc 立即下载
上传人:yy****24 上传时间:2024-09-04 格式:DOC 页数:29 大小:2.1MB 金币:18 举报 版权申诉
预览加载中,请您耐心等待几秒...

启迪教育七年级讲义.doc

启迪教育七年级讲义.doc

预览

免费试读已结束,剩余 19 页请下载文档后查看

18 金币

下载文档

如果您无法下载资料,请参考说明:

1、部分资料下载需要金币,请确保您的账户上有足够的金币

2、已购买过的文档,再次下载不重复扣费

3、资料包下载后请先用软件解压,在使用对应软件打开

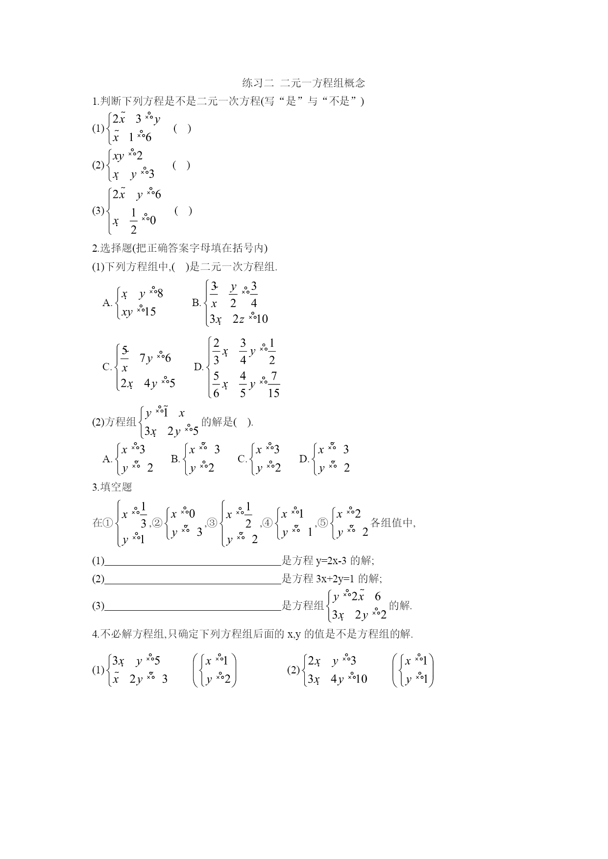
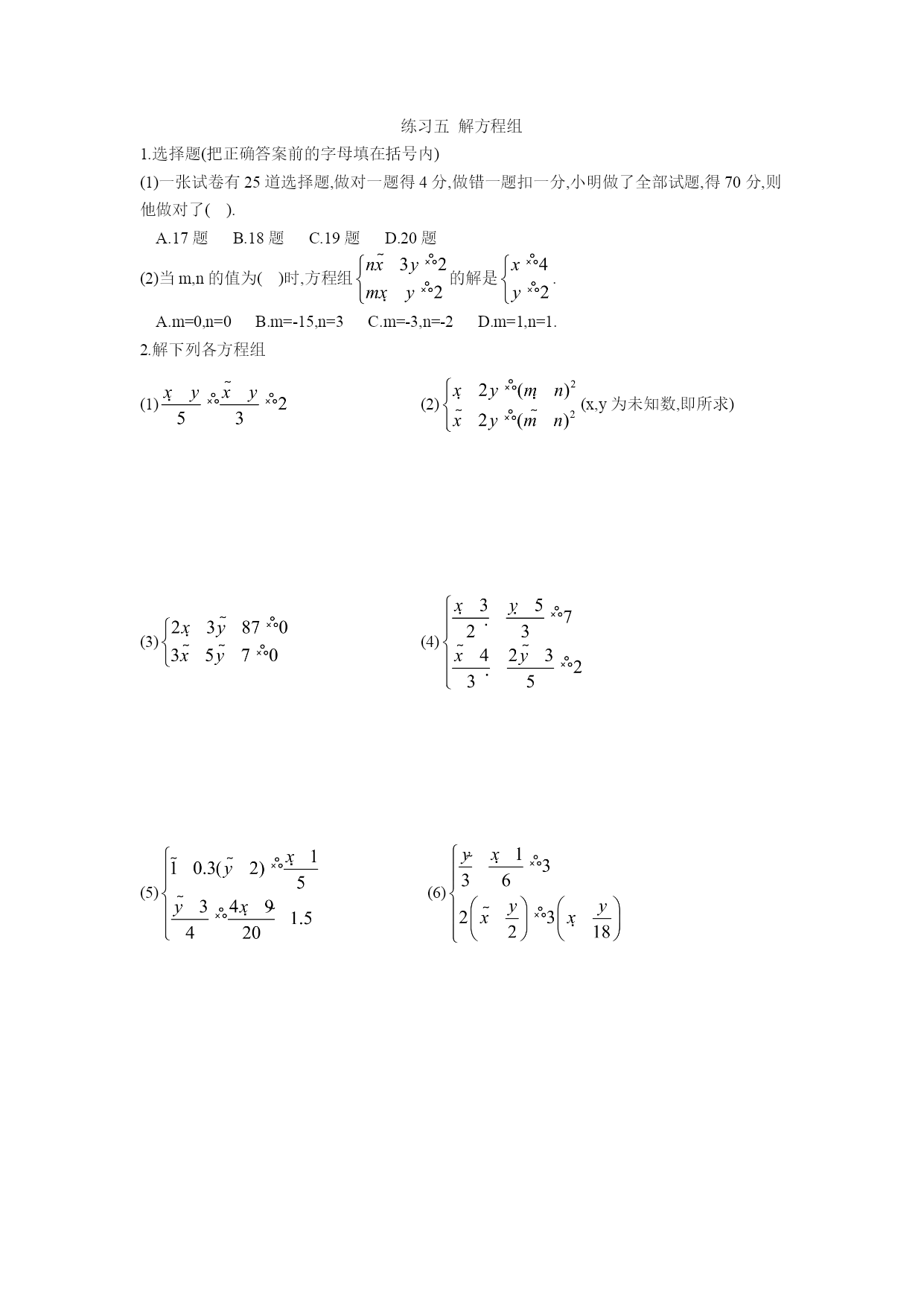
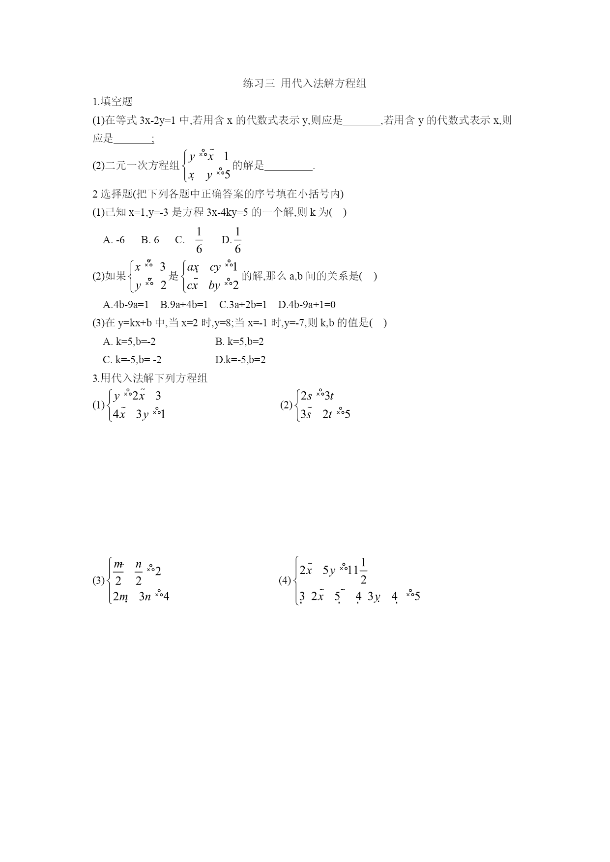
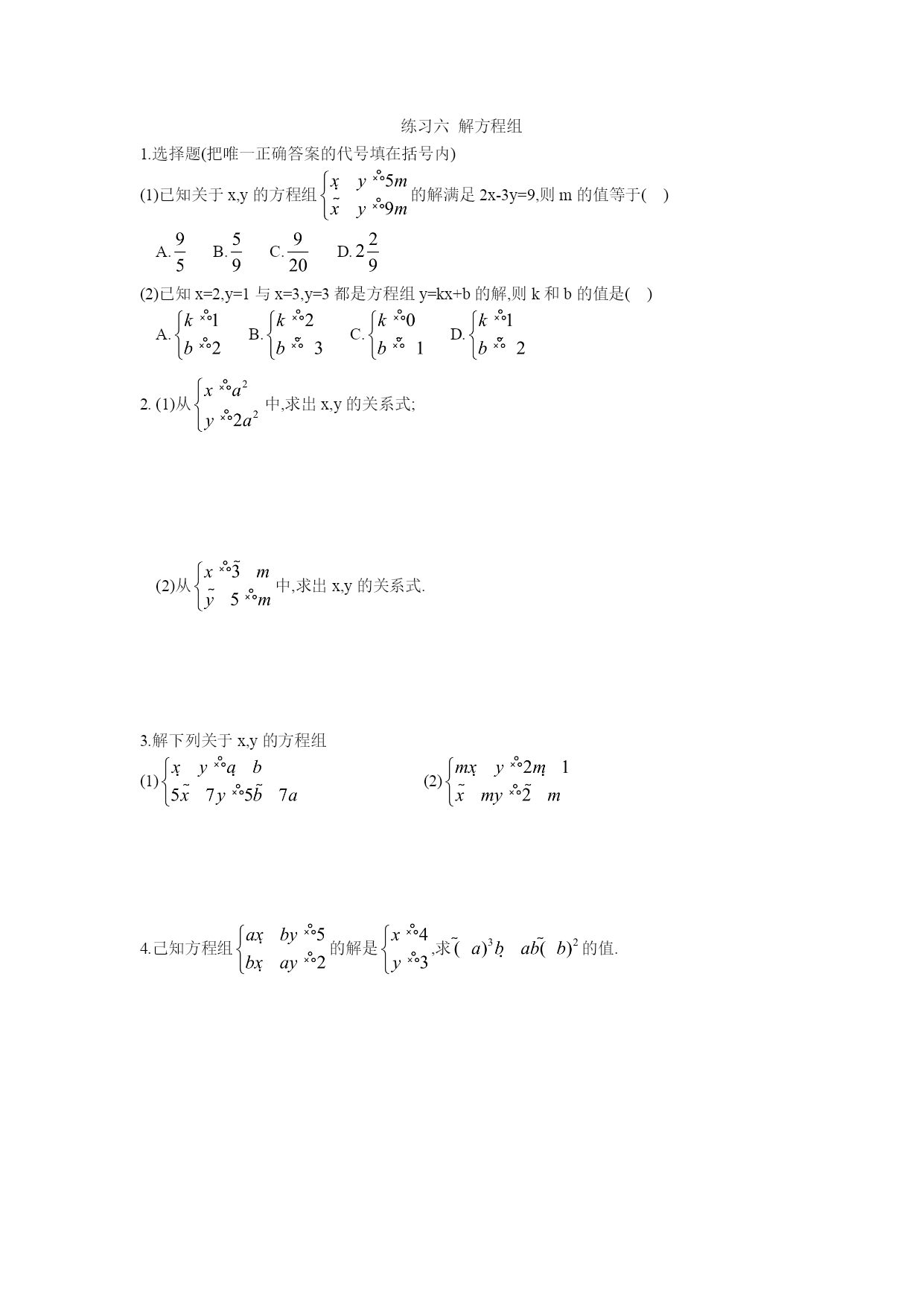
第五章二元一方程组练习一二元一次方程的概念1.填空题(1)已知二元一次方程2x-7y=4.根据表中给定的x(或y)的值,求出对应的y(或x)的值.x30-1…y-1022-1…(2)方程x+2y=7,在自然数范围内的解是.(3)已知是方程3x-my=2的解,则m=.2.判断题(正确的画“V”,错误的画“X”)(1)y=2x-3是二元一次方程;()(2)x-1=6是二元一次方程;()(3)xy+3x-3y=0是二元一次方程;()(4)x=3,y=0是方程2x-y=6的一个解.()3.解答题(1)若x=3,y=-1是方程3x-ay=8的一个解,且a+b=-2,求b的值;(2)如果方程2x+3y-4+3kx-2ky+4k=0是关于y的方程,求k的值及这个方程的解.练习二二元一方程组概念1.判断下列方程是不是二元一次方程(写“是”与“不是”)(1)()(2)()(3)()2.选择题(把正确答案字母填在括号内)(1)下列方程组中,()是二元一次方程组.A.B.C.D.(2)方程组的解是().A.B.C.D.3.填空题在=1\*GB3①,=2\*GB3②,=3\*GB3③,=4\*GB3④,=5\*GB3⑤各组值中,(1)是方程y=2x-3的解;(2)是方程3x+2y=1的解;(3)是方程组的解.4.不必解方程组,只确定下列方程组后面的x,y的值是不是方程组的解.(1)(2)练习三用代入法解方程组1.填空题(1)在等式3x-2y=1中,若用含x的代数式表示y,则应是,若用含y的代数式表示x,则应是;(2)二元一次方程组的解是.2选择题(把下列各题中正确答案的序号填在小括号内)(1)己知x=1,y=-3是方程3x-4ky=5的一个解,则k为()A.-6B.6C.D.(2)如果是的解,那么a,b间的关系是()A.4b-9a=1B.9a+4b=1C.3a+2b=1D.4b-9a+1=0(3)在y=kx+b中,当x=2时,y=8;当x=-1时,y=-7,则k,b的值是()A.k=5,b=-2B.k=5,b=2C.k=-5,b=-2D.k=-5,b=23.用代入法解下列方程组(1)(2)(3)(4)练习四用加减法解方程组1.填空题(1)若是方程组的解,则k=,m=.(2)m为时,方程组的解x+y=0.(3)己知,则x=,y=.(4)在y=kx+b中,若x=5时,y=6;若x=-1时,y=-2,则x=0时,y=.(5)若,则s=,t=.2.用加减法解下列方程组(1)(2)(3)(4)3.一个分数的分母比分子大2,分子与分母的和是28,求这个分数.练习五解方程组1.选择题(把正确答案前的字母填在括号内)(1)一张试卷有25道选择题,做对一题得4分,做错一题扣一分,小明做了全部试题,得70分,则他做对了().A.17题B.18题C.19题D.20题(2)当m,n的值为()时,方程组的解是.A.m=0,n=0B.m=-15,n=3C.m=-3,n=-2D.m=1,n=1.2.解下列各方程组(1)(2)(x,y为未知数,即所求)(3)(4)(5)(6)练习六解方程组1.选择题(把唯一正确答案的代号填在括号内)(1)已知关于x,y的方程组的解满足2x-3y=9,则m的值等于()A.B.C.D.(2)已知x=2,y=1与x=3,y=3都是方程组y=kx+b的解,则k和b的值是()A.B.C.D.2.(1)从中,求出x,y的关系式;(2)从中,求出x,y的关系式.3.解下列关于x,y的方程组(1)(2)4.己知方程组的解是,求的值.练习七三元一次方程组解法解下列方程组1.2.3.4.5.单元练习一1.判断题(对打”V”,错的打”X”)(1)二元一次方程2x-3y=1有无数个解,即x,y可任取数值.()(2)方程组没有解.()2.己知,则x=,y=.3.解方程组时,甲正确解出x=3,y=-2,乙因为把c写错了,从而解得了x=-2,y=2,试求a,b,c的值.4.已知是方程组的一个解,求a,b的值.5.的一个解是,求m,n的值.6.根据条件列二元一次方程(1)5个大数的和比8个小数的和少4;(2)一个数的加5的和是另一个数的减5的差的2倍;(3)甲量的50%与乙量的30%的和
单篇购买
VIP会员(1亿+VIP文档免费下)

扫码即表示接受《下载须知》

启迪教育七年级讲义

文档大小:2.1MB

限时特价:扫码查看

• 请登录后再进行扫码购买
• 使用微信/支付宝扫码注册及付费下载,详阅 用户协议 隐私政策
• 如已在其他页面进行付款,请刷新当前页面重试
• 付费购买成功后,此文档可永久免费下载
年会员
99.0
¥199.0

6亿VIP文档任选,共次下载特权。

已优惠

微信/支付宝扫码完成支付,可开具发票

VIP尽享专属权益

VIP文档免费下载

赠送VIP文档免费下载次数

阅读免打扰

去除文档详情页间广告

专属身份标识

尊贵的VIP专属身份标识

高级客服

一对一高级客服服务

多端互通

电脑端/手机端权益通用

手机号注册 用户名注册
我已阅读并接受《用户协议》《隐私政策》
已有账号?立即登录
我已阅读并接受《用户协议》《隐私政策》
已有账号?立即登录
登录
手机号登录 微信扫码登录
微信扫一扫登录 账号密码登录

首次登录需关注“豆柴文库”公众号

新用户注册
VIP会员(1亿+VIP文档免费下)
年会员
99.0
¥199.0

6亿VIP文档任选,共次下载特权。

已优惠

微信/支付宝扫码完成支付,可开具发票

VIP尽享专属权益

VIP文档免费下载

赠送VIP文档免费下载次数

阅读免打扰

去除文档详情页间广告

专属身份标识

尊贵的VIP专属身份标识

高级客服

一对一高级客服服务

多端互通

电脑端/手机端权益通用