您所在位置: 网站首页 / 文档列表 / 工学 / 文档详情
机电控制工程基础练习2题目及答案.doc 立即下载
上传人:yy****24 上传时间:2024-09-08 格式:DOC 页数:12 大小:4.7MB 金币:12 举报 版权申诉
预览加载中,请您耐心等待几秒...

机电控制工程基础练习2题目及答案.doc

机电控制工程基础练习2题目及答案.doc

预览

免费试读已结束,剩余 2 页请下载文档后查看

12 金币

下载文档

如果您无法下载资料,请参考说明:

1、部分资料下载需要金币,请确保您的账户上有足够的金币

2、已购买过的文档,再次下载不重复扣费

3、资料包下载后请先用软件解压,在使用对应软件打开

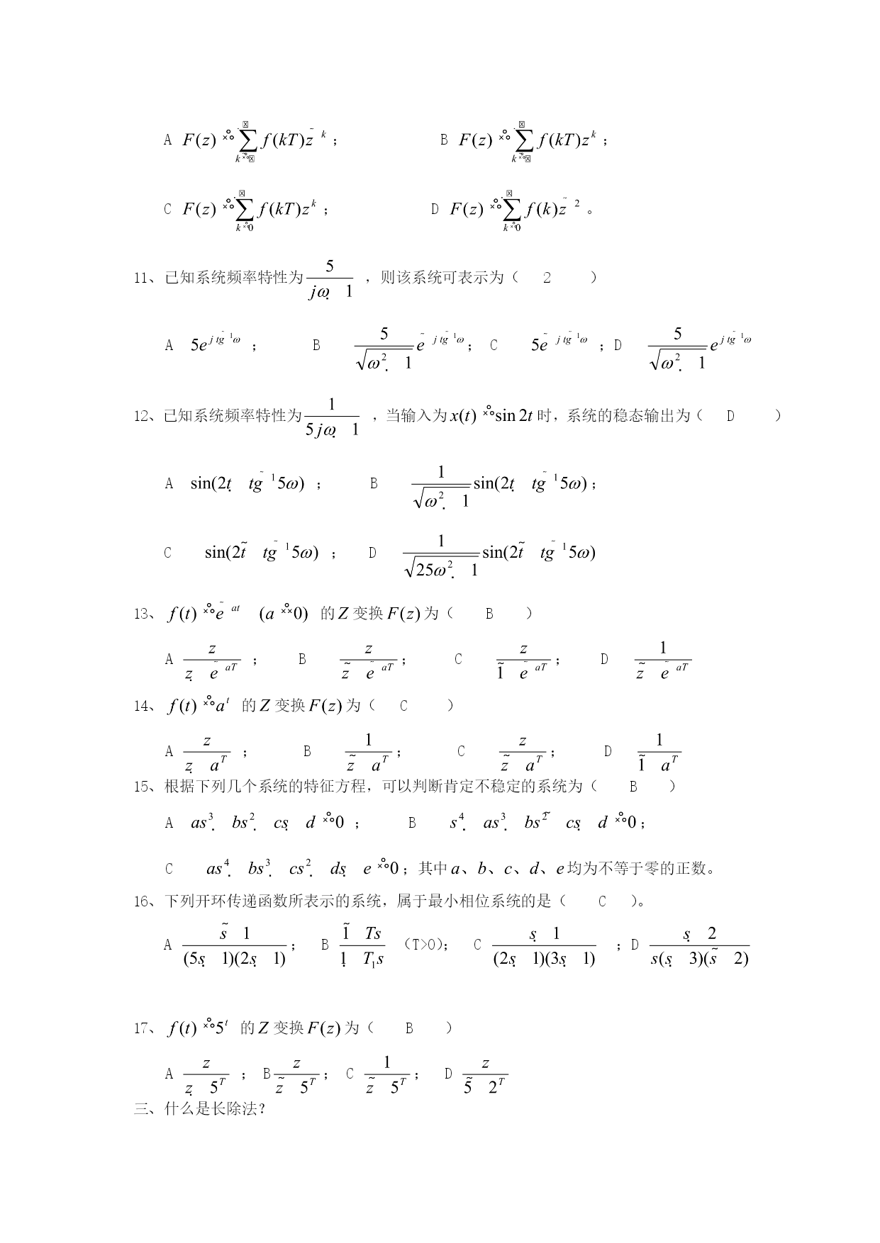
机电控制工程基础练习2一、填空1、频率响应是响应。正弦输入信号的稳态2、控制系统的时间响应,可以划分为瞬态和稳态两个过程。瞬态过程是指系统从到接近最终状态的响应过程;稳态过程是指时间t趋于时系统的输出状态。初始状态无穷3、所对应的的前三项是,依次是,,。1,2,34、s平面与z平面的对应关系是:平面的左半平面对应于平面上单位圆以内,平面的虚轴对应于平面单位圆,平面的右半平面,对应于平面单位圆以外。5、若系统输入为,其稳态输出相应为,则该系统的频率特性可表示为。6、2型系统的对数幅频特性低频渐近线斜率为。–40dB/dec7、惯性环节的传递函数为。8、当输入信号的角频率ω在某一范围内改变时所得到的一系列频率的响应称为这个系统的频率特性。9、对于一阶系统,当ω由0→∞时,矢量D(jω)逆时针方向旋转,则系统是稳定的。否则系统不稳定。10、如果在系统中只有离散信号而没有连续信号,则称此系统为系统,其输入、输出关系常用差分方程来描述。离散11、当采样频率满足时,则采样函数到原来的连续函数。能无失真地恢复12、离散信号的数学表达式为。13、时间响应由响应和响应两部分组成。瞬态、稳态14、为系统的,它描述系统对不同频率输入信号的稳态响应幅值衰减(或放大)的特性。为系统的,它描述系统对不同频率输入信号的稳态响应,相位迟后或超前的特性。幅频特性,相频特性二、选择1、已知系统频率特性为,则该系统可表示为(C)A;B;C;D2、如果为函数有效频谱的最高频率,那么采样频率满足以下A条件时,采样函数能无失真地恢复到原来的连续函数。A至少为;B至少为;C至多为;D至多为23、所对应的的DI第1项是。BA1;B2;C3;D1/24、下列开环传递函数所表示的系统,属于最小相位系统的有。DA;B(T>0);C;D;5、题图中R-C电路的幅频特性为。BA;B;C;D。6、理想微分环节对数幅频特性曲线是一条斜率为(1)A,通过ω=1点的直线;B-,通过ω=1点的直线;C-,通过ω=0点的直线;D,通过ω=0点的直线7、开环对数幅频特性对数相频特性如图所示,当K增大时:A图AL(ω)向上平移,不变;BL(ω)向上平移,向上平移;CL(ω)向下平移,不变;DL(ω)向下平移,向下平移。8系统如图所示,为一个装置,实现起来比较简单(B)A串联校正;B并联校正;C混合校正;D正反馈校正。9、脉冲传递函数。CA输出脉冲序列与输入脉冲序列之比;B系统输出的变换与输入变换之比;C在初条件为零时,系统输出的变换与输入的变换之比;D在初条件为零时,系统输入的变换与输出的变换之比。10、变换的数学表达式为。AA;B;C;D。11、已知系统频率特性为,则该系统可表示为(2)A;B;C;D12、已知系统频率特性为,当输入为时,系统的稳态输出为(D)A;B;C;D13、的变换为(B)A;B;C;D14、的变换为(C)A;B;C;D15、根据下列几个系统的特征方程,可以判断肯定不稳定的系统为(B)A;B;C;其中均为不等于零的正数。16、下列开环传递函数所表示的系统,属于最小相位系统的是(C)。A;B(T>0);C;D17、的变换为(B)A;B;C;D三、什么是长除法?解答:长除法就是幂级数展开法:把按展成幂级数,那么其系数组成的序列即为所求。这种方法有时给不出一个闭式表达式。四、已知系统的开环传递函数为:试:1.绘出对数渐近幅频特性曲线以及相频特性曲线2.确定系统稳定裕度解答:该系统是由积分、放大和两个惯性环节串联构成的K=1020lgK=20分贝低频为积分放大环节,在,K=20分贝处作-20dB/10倍频线在处作-40dB/10倍频线,在处作–60dB/10倍频线2.L()>0的范围内,相频特性在处没有穿越,所以系统稳定,所以=180=五、系统如图所示,的Z变换结果C(z)为2/(z-1),求输出响应的前四项值(提示用长除法求取不同时刻的输出值)。解答:输出的前4项是:2;2;2;2六、设系统的传递函数,求输入信号频率为,振幅为时,系统的稳态输出。解:由,可以看出是由放大环节与惯性环节串联组成,放大环节只影响输出值的幅值,而惯性环节对输出的幅值及相位都有影响。1)输出与输入频率相同f=1Hz,所以ω=2πf=6.3()2)求输出与输入相位差惯性环节相位落后为3)求输出幅值4)稳态输出七、已知最小相位系统开环对数频率特性曲线如图所示。试写出开环传递函数。解:1)ω<ω1的低频段斜率为[-20],故低频段
单篇购买
VIP会员(1亿+VIP文档免费下)

扫码即表示接受《下载须知》

机电控制工程基础练习2题目及答案

文档大小:4.7MB

限时特价:扫码查看

• 请登录后再进行扫码购买
• 使用微信/支付宝扫码注册及付费下载,详阅 用户协议 隐私政策
• 如已在其他页面进行付款,请刷新当前页面重试
• 付费购买成功后,此文档可永久免费下载
年会员
99.0
¥199.0

6亿VIP文档任选,共次下载特权。

已优惠

微信/支付宝扫码完成支付,可开具发票

VIP尽享专属权益

VIP文档免费下载

赠送VIP文档免费下载次数

阅读免打扰

去除文档详情页间广告

专属身份标识

尊贵的VIP专属身份标识

高级客服

一对一高级客服服务

多端互通

电脑端/手机端权益通用

手机号注册 用户名注册
我已阅读并接受《用户协议》《隐私政策》
已有账号?立即登录
我已阅读并接受《用户协议》《隐私政策》
已有账号?立即登录
登录
手机号登录 微信扫码登录
微信扫一扫登录 账号密码登录

首次登录需关注“豆柴文库”公众号

新用户注册
VIP会员(1亿+VIP文档免费下)
年会员
99.0
¥199.0

6亿VIP文档任选,共次下载特权。

已优惠

微信/支付宝扫码完成支付,可开具发票

VIP尽享专属权益

VIP文档免费下载

赠送VIP文档免费下载次数

阅读免打扰

去除文档详情页间广告

专属身份标识

尊贵的VIP专属身份标识

高级客服

一对一高级客服服务

多端互通

电脑端/手机端权益通用