您所在位置: 网站首页 / 文档列表 / 高考 / 文档详情
2024年新高考I卷数学高考试卷(原卷+答案).pdf 立即下载
上传人:文库****品店 上传时间:2024-09-07 格式:PDF 页数:19 大小:2.1MB 金币:10 举报 版权申诉
预览加载中,请您耐心等待几秒...

2024年新高考I卷数学高考试卷(原卷+答案).pdf

2024年新高考I卷数学高考试卷(原卷+答案).pdf

预览

免费试读已结束,剩余 9 页请下载文档后查看

10 金币

下载文档

如果您无法下载资料,请参考说明:

1、部分资料下载需要金币,请确保您的账户上有足够的金币

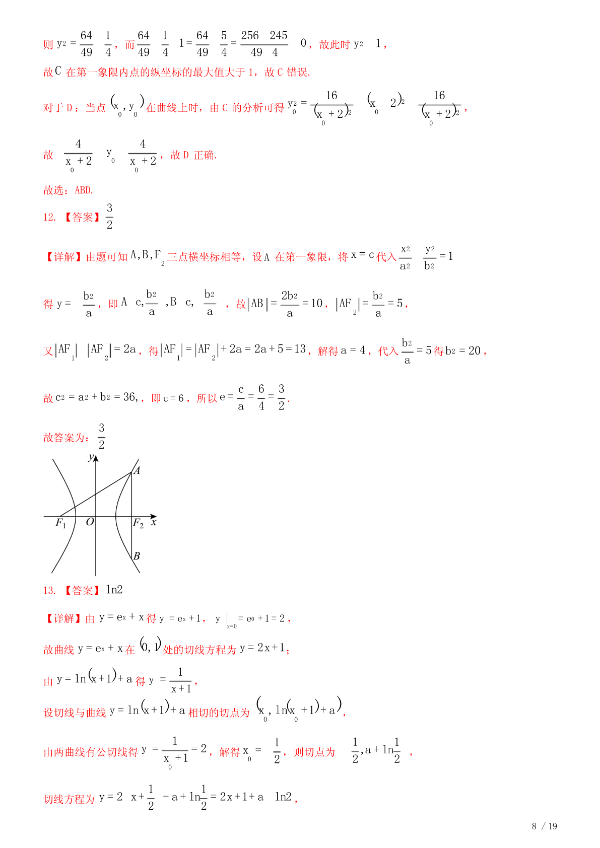
2、已购买过的文档,再次下载不重复扣费

3、资料包下载后请先用软件解压,在使用对应软件打开

绝密★启用前2024年普通高等学校招生全国统一考试(新高考I卷)(适用地区:山东、广东、湖南、湖北、河北、江苏、福建、浙江、江西、安徽、河南)数学注意事项:1.答卷前,考生务必将自己的姓名、准考证号填写在答题卡上。2.回答选择题时,选出每小题答案后,用铅笔把答题卡上对应题目的答案标号涂黑;如需改动,用橡皮擦干净后,再选涂其他答案标号。回答非选择题时,将答案书写在答题卡上,写在本试卷上无效。3.考试结束后,将本试卷和答题卡一并交回。一、选择题:本题共.8小题,每小题5分,共40分.在每小题给出的四个选项中,只有一个选项是正确的.请把正确的选项填涂在答题卡相应的位置上.1.已知集合A=x∣−5x35,B={−3,−1,0,2,3},则AB=()A{−1,0}B.{2,3}C.{−3,−1,0}D.{−1,0,2}z2.若=1+i,则z=()z−1A.−1−iB.−1+iC.1−iD.1+i3.已知向量a=(0,1),b=(2,x),若b⊥(b−4a),则x=()A.−2B.−1C.1D.24.已知cos(+)=m,tantan=2,则cos(−)=().mmA.−3mB.−C.D.3m335.已知圆柱和圆锥的底面半径相等,侧面积相等,且它们的高均为3,则圆锥的体积为()A23πB.33πC.63πD.93π−x2−2ax−a,x06.已知函数f(x)=在R上单调递增,则a的取值范围是()ex+ln(x+1),x0A.(−,0]B.[−1,0]C.[−1,1]D.[0,+)7.当x[0,2]时,曲线y=sinx与y=2sin3x−的交点个数为()6A.3B.4C.6D.88.已知函数f(x)的定义域为R,f(x)f(x−1)+f(x−2),且当x3时f(x)=x,则下列结论中一定正确的是()1/19A.f(10)100B.f(20)1000C.f(10)1000D.f(20)10000二、选择题:本题共3小题,每小题6分,共18分.在每小题给出的选项中,有多项符合题目要求.全部选对得6分,部分选对的得部分分,选对但不全的得部分分,有选错的得0分.9.随着“一带一路”国际合作的深入,某茶叶种植区多措并举推动茶叶出口.为了解推动出口后的亩收入(单位:万元)情况,从该种植区抽取样本,得到推动出口后亩收入的样本均值x=2.1,样本方差()s2=0.01,已知该种植区以往的亩收入X服从正态分布N1.8,0.12,假设推动出口后的亩收入Y服从()()正态分布Nx,s2,则()(若随机变量Z服从正态分布N,2,P(Z+)0.8413)A.P(X2)0.2B.P(X2)0.5C.P(Y2)0.5D.P(Y2)0.810.设函数f(x)=(x−1)2(x−4),则()()A.x=3是f(x)的极小值点B.当0x1时,f(x)fx2C.当1x2时,−4f(2x−1)0D.当−1x0时,f(2−x)f(x)11.设计一条美丽的丝带,其造型可以看作图中的曲线C的一部分.已知C过坐标原点O.且C上的点满足:横坐标大于−2,到点F(2,0)的距离与到定直线x=a(a0)的距离之积为4,则()A.a=−2B.点(22,0)在C上4C.C在第一象限的点的纵坐标的最大值为1D.当点(x,y)在C上时,y000x+20三、填空题:本题共3小题,每小题5分,共15分.x2y212.设双曲线C:−=1(a0,b0)左右焦点分别为F、F,过F作平行于y轴的直线交C于A,B两a2b2的122点,若|FA|=13,|AB|=10,则C的离心率为___________.113.若曲线y=ex+x在点(0,1)处的切线也是曲线y=ln(x+1)+a的切线,则a=__________.14.甲、乙两人各有四张卡片,每张卡片上标有一个数字,甲的卡片上分别标有数字1,3,5,7,乙的卡片上分别标有数字2,4,6,8,两人进行四轮比赛,在每轮比赛中,两人各自从自己持有的卡片中随机选一张,并比较所选卡片上数字的大小,数字大的人得1分,数字小的人得0分,然后各自弃置此轮所选的卡片(弃置的卡片在此后的轮次中不能使用).则四轮比赛后,甲的总得分不小于2的概率为_________.2/19四、解答题:本题共5小题,共77分.解答应写出文字说明、证明过程或演算步骤.15.记ABC的内角A、B、C的对边分别为a,b,c,已知sinC=2cosB,a2+b2−c2
单篇购买
VIP会员(1亿+VIP文档免费下)

扫码即表示接受《下载须知》

2024年新高考I卷数学高考试卷(原卷+答案)

文档大小:2.1MB

限时特价:扫码查看

• 请登录后再进行扫码购买
• 使用微信/支付宝扫码注册及付费下载,详阅 用户协议 隐私政策
• 如已在其他页面进行付款,请刷新当前页面重试
• 付费购买成功后,此文档可永久免费下载
年会员
99.0
¥199.0

6亿VIP文档任选,共次下载特权。

已优惠

微信/支付宝扫码完成支付,可开具发票

VIP尽享专属权益

VIP文档免费下载

赠送VIP文档免费下载次数

阅读免打扰

去除文档详情页间广告

专属身份标识

尊贵的VIP专属身份标识

高级客服

一对一高级客服服务

多端互通

电脑端/手机端权益通用

手机号注册 用户名注册
我已阅读并接受《用户协议》《隐私政策》
已有账号?立即登录
我已阅读并接受《用户协议》《隐私政策》
已有账号?立即登录
登录
手机号登录 微信扫码登录
微信扫一扫登录 账号密码登录

首次登录需关注“豆柴文库”公众号

新用户注册
VIP会员(1亿+VIP文档免费下)
年会员
99.0
¥199.0

6亿VIP文档任选,共次下载特权。

已优惠

微信/支付宝扫码完成支付,可开具发票

VIP尽享专属权益

VIP文档免费下载

赠送VIP文档免费下载次数

阅读免打扰

去除文档详情页间广告

专属身份标识

尊贵的VIP专属身份标识

高级客服

一对一高级客服服务

多端互通

电脑端/手机端权益通用