您所在位置: 网站首页 / 文档列表 / 中考 / 文档详情
中考数学模拟题.doc 立即下载
上传人:yy****24 上传时间:2024-09-03 格式:DOC 页数:8 大小:1.6MB 金币:16 举报 版权申诉
预览加载中,请您耐心等待几秒...

中考数学模拟题.doc

中考数学模拟题.doc

预览

在线预览结束,喜欢就下载吧,查找使用更方便

16 金币

下载文档

如果您无法下载资料,请参考说明:

1、部分资料下载需要金币,请确保您的账户上有足够的金币

2、已购买过的文档,再次下载不重复扣费

3、资料包下载后请先用软件解压,在使用对应软件打开

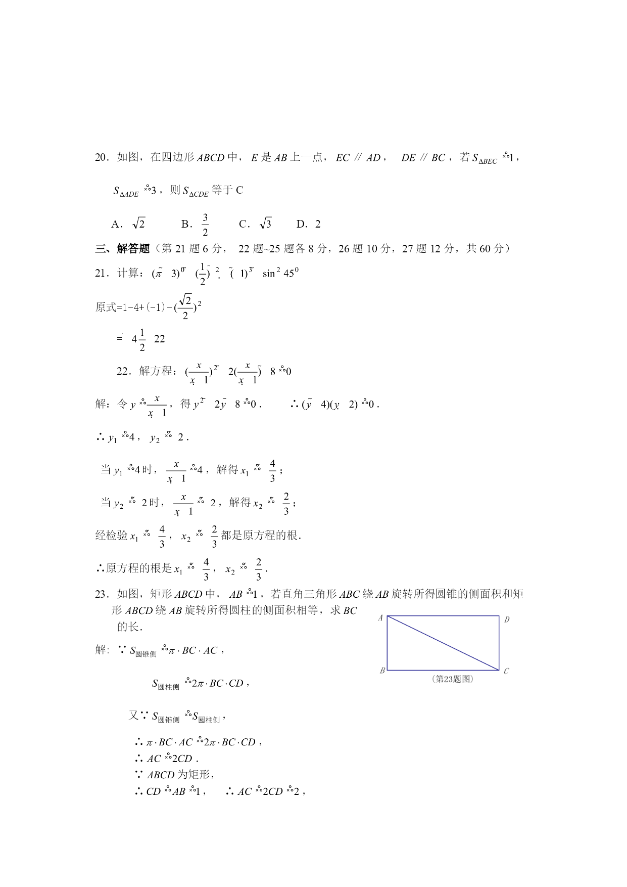
高中段招生考试数学模拟试题考生须知:1.全卷分试题和答题卷,试题卷,有三个大题,27个小题。满分为120分。考试时间为120分钟。2.答卷必须使用蓝色或黑色墨水钢笔(或圆珠笔),画图可用铅笔,答卷必须做在答题卷相应的位置上,做在试题卷上无效。3.请将县(市)、区、学校、姓名、准考证号分别填写在答题卷的规定位置上。一、填空题(每小题3分,共36分)1.如果,那么_____.2.在函数中,自变量的取值范围是________.3.已知,且,则__6_.4.据《2003年宁波市水资源公报》:2003年末我市大中型水库蓄水总量仅为293500000,比2002年末蓄水总量减少341900000.用科学记数法表示2002年末蓄水总量为__6.354___.5.如图,∥,平分交于,°,则等于_31___度.6.如图为宁波港1998年~2003年集装箱吞吐量统计图,根据图中信息可得宁波港2003年集装箱吞吐量是1999年集装箱吞吐量的___4.6___倍(结果保留两个有效数字).7.初三(1)班共有48名团员要求参加青年志愿者活动,根据实际需要,团支部从中随机选择12名团员参加这次活动,该班团员李明能参加这次活动的概率是_____.8.如图,切⊙于,=66°,则=__147____度.9.等腰三角形中,,、的长是关于的方程的两根,则的值是___25或16____.10.仔细观察下列图案,并按规律在横线上画出合适的图形.11.已知:,化简__-2__.12.已知二次函数的图象交轴于、两点,交轴于点,且是直角三角形,请写出符合要求的一个二次函数的解析式:___:__.二、选择题(每小题3分,共24分。在每小题给出的四个选项中,只有一项符合题目要求)13.抛物线的顶点坐标为AA.(2,1)B.(2,-1)C.(-2,-1)D.(-2,1)14.如图,在中,、分别是、边的中点,且,,,则等于CA.5B.7C.8D.1215.当时,点在DA.第一象限B.第二象限C.第三象限D.第四象限16.已知关于的方程有两个不相等的实根,那么的最大整数是DA.2B.-1C.0D.117.电压一定时,电流与电阻的函数图象大致是A18.如图,切⊙于,割线经过圆心,交⊙于B、C两点,若,,则的值为BA.B.C.D.19.已知、为实数,且,设,,则、的大小关系是BA.B.C.D.不确定20.如图,在四边形中,是上一点,∥,∥,若,,则等于CA.B.C.D.2三、解答题(第21题6分,22题~25题各8分,26题10分,27题12分,共60分)21.计算:原式=1-4+(-1)-=2222.解方程:解:令,得.∴.∴,.当时,,解得;当时,,解得;经检验,都是原方程的根.∴原方程的根是,.23.如图,矩形中,,若直角三角形绕旋转所得圆锥的侧面积和矩形绕旋转所得圆柱的侧面积相等,求的长.解:∵,,又∵,∴,∴.∵为矩形,∴,∴,在,,∴.24.为缓解用电紧张矛盾,某电力公司特制定了新的用电收费标准,每月用电量(度)与应付电费(元)的关系如图所示.(1)根据图象,请分别求出当和时,与的函数关系式.当月用电量时,是的正比例函数.设,∵当时,,∴,∴.∴当月用电量时,是的一次函数.设,∵当时,;当时,.∴∴∴(2)请回答:当每月用电量不超过50度时,收费标准是_每度0.50元_;当每月用电量超过50度时,收费标准是_其中的50度每度0.5元,超过部分每度0.9元__.25.如图,已知点是边长为4的正方形内一点,且,,垂足是.请在射线上找一点,使以点、、为顶点的三角形与相似(请注意:全等图形是相似图形的特例).解:在射线上截取线段,连接,,,∴~.在射线上截取线段,连接,.∴在射线上取或时,,都为符合条件的26.据气象台预报,一强台风的中心位于宁波(指城区,下同)东南方向()千米的海面上,目前台风中心正以20千米/时的速度向北偏西60°的方向移动,距台风中心50千米的圆形区域均会受到强袭击.已知宁海位于宁波正南方向72千米处,象山位于宁海北偏东60°方向56千米处.请问:宁波、宁海、象山是否会受这次台风的强袭击?如果会,请求出受强袭击的时间;如果不会,请说明理由.(为解决问题,须画出示意图,现已画出其中一部分,请根据需要,把图形画完整)解:如图过作东西方向(水平)直线与(南北)延长线交于,延长台风中心移动射线与相交于.∵,45°,,∴,.∵30°,∴30°=,∴与重合,∴台风中心必经过宁海.∴经过宁海的时间为(时).如图为
单篇购买
VIP会员(1亿+VIP文档免费下)

扫码即表示接受《下载须知》

中考数学模拟题

文档大小:1.6MB

限时特价:扫码查看

• 请登录后再进行扫码购买
• 使用微信/支付宝扫码注册及付费下载,详阅 用户协议 隐私政策
• 如已在其他页面进行付款,请刷新当前页面重试
• 付费购买成功后,此文档可永久免费下载
年会员
99.0
¥199.0

6亿VIP文档任选,共次下载特权。

已优惠

微信/支付宝扫码完成支付,可开具发票

VIP尽享专属权益

VIP文档免费下载

赠送VIP文档免费下载次数

阅读免打扰

去除文档详情页间广告

专属身份标识

尊贵的VIP专属身份标识

高级客服

一对一高级客服服务

多端互通

电脑端/手机端权益通用

手机号注册 用户名注册
我已阅读并接受《用户协议》《隐私政策》
已有账号?立即登录
我已阅读并接受《用户协议》《隐私政策》
已有账号?立即登录
登录
手机号登录 微信扫码登录
微信扫一扫登录 账号密码登录

首次登录需关注“豆柴文库”公众号

新用户注册
VIP会员(1亿+VIP文档免费下)
年会员
99.0
¥199.0

6亿VIP文档任选,共次下载特权。

已优惠

微信/支付宝扫码完成支付,可开具发票

VIP尽享专属权益

VIP文档免费下载

赠送VIP文档免费下载次数

阅读免打扰

去除文档详情页间广告

专属身份标识

尊贵的VIP专属身份标识

高级客服

一对一高级客服服务

多端互通

电脑端/手机端权益通用